Hacer clic en la imagen para visualizar en pantalla completa
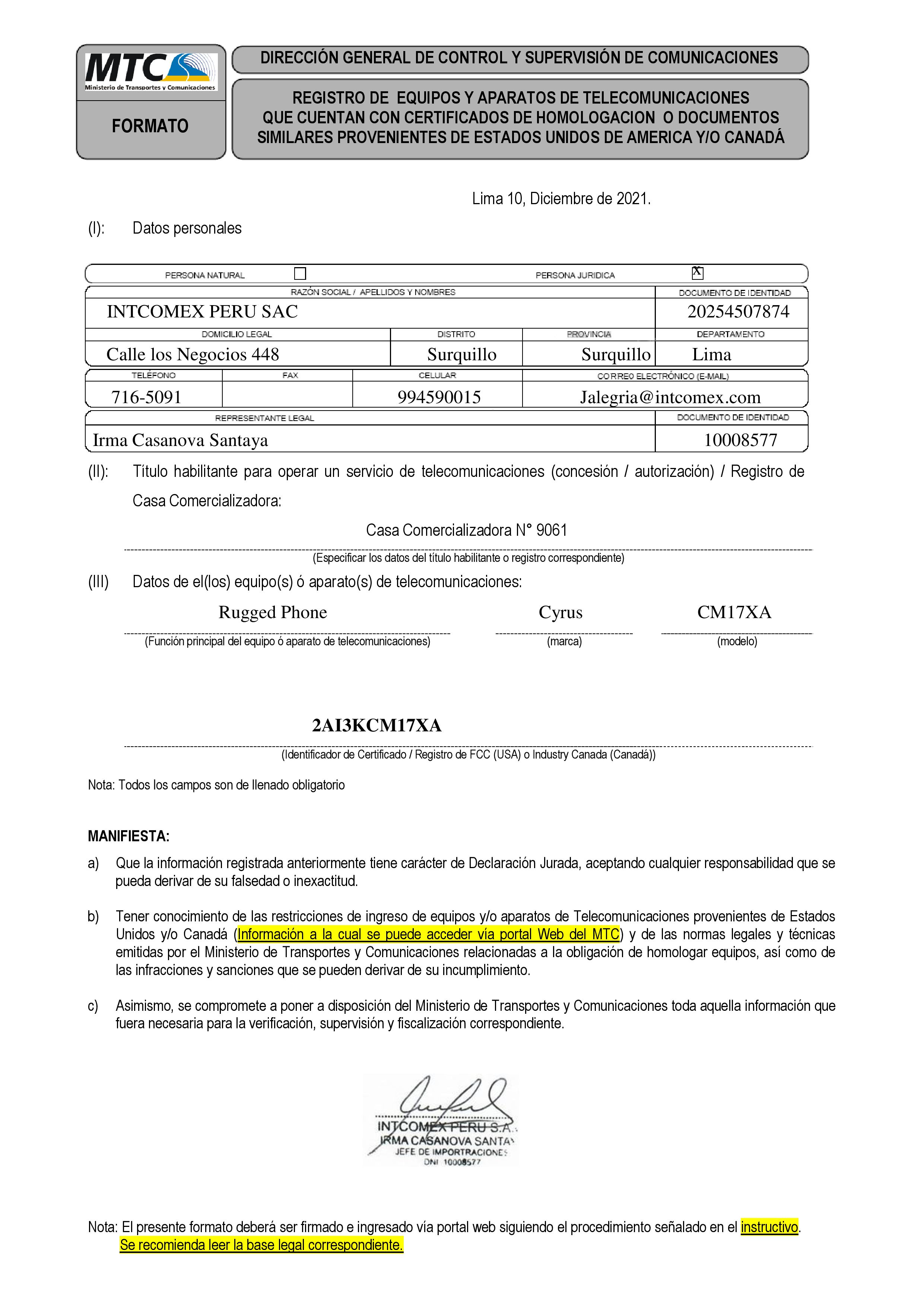
Datos de Solicitante
Tipo Doc.
20254507874
20254507874
Fecha de Registro
10/12/2021 12:43:21
10/12/2021 12:43:21
Nombres/Razón Social
INTCOMEX PERU SAC
INTCOMEX PERU SAC
Dirección
Calle Los Negocios 448 Surquillo
Calle Los Negocios 448 Surquillo
Teléfono.
716-5091
716-5091
Celular
994590015
994590015
Email
jalegria@intcomex.com
jalegria@intcomex.com
Fax.
Representante
Irma Casanova Santaya
Irma Casanova Santaya
Dni Representante
10008577
10008577
Registro Casa/T. Habilitante:
Datos del Equipo
Nro. FCC/ID:
2AI3KCM17XA
2AI3KCM17XA
Nro. de Trámite Web:
2101741
2101741
Marca del Equipo:
Cyrus
Cyrus
Modelo del Equipo:
CM17XA
CM17XA
Función del Equipo:
Telefonos celulares resistentes de alta calidad
Telefonos celulares resistentes de alta calidad
Imagenes y Documentación
Nro. FCC/ID:
2AI3KCM17XA
2AI3KCM17XA